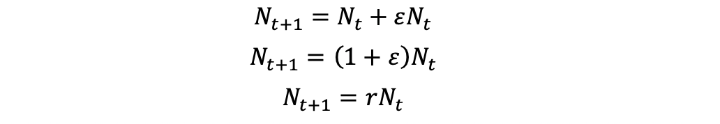
We want to use our recursive equation to obtain a formula for the size of the population at any time.  We know how to do that: convert the increase to a multiplier and we get a recursive equation

 
Screen Shot 2021-07-12 at 5.52.31 PM.png
 

where,

 
Screen Shot 2021-07-12 at 5.52.38 PM.png
 

is the one second multiplier.

Therefore, at time t:

Screen Shot 2021-07-12 at 5.52.44 PM.png
 
 
Screen Shot 2021-07-12 at 5.55.32 PM.png
⇦ Solving the Equation
Plotting the Formula ⇨